Muon section

χ20 = Nominal χ2 in the unfolding

χ2reg. = χ2 for the regularization term in the unfolding

χ2unf = (Dataunf - Predictiongen) V-1unf (Dataunf - Predictiongen)

χ2rec = (Datareco - Backgroundreco - Folded Predictionunf) V-1reco (Datareco - Backgroundreco - Folded Predictionunf)

V-1unf and V-1reco include the data statistical uncertatinties of their respective spaces.

Muon Channel

Variable Condition MG_NLO chi2 REC MG_NLO chi2 UNF MG_NLO ratio MG_LO chi2 REC MG_LO chi2 UNF MG_LO ratio GENEVA chi2 REC GENECA chi2 UNF GENEVA ratio dof
ZNGoodJets_Zexc 897056.32 22908.30 22908.30 1.0000 48471.94 48471.94 1.0000 131978.97 131978.97 1.0000 9
FirstJetPt_Zinc1jet 15446.46 14549.79 14545.74 1.0003 32629.33 32008.79 1.0194 24345.74 24325.55 1.0008 16
SecondJetPt_Zinc2jet 2915.02 1952.36 1923.42 1.0150 12442.51 12391.78 1.0041 94904.80 94183.21 1.0077 13
ThirdJetPt_Zinc3jet 660.37 274.67 255.82 1.0737 2928.77 2954.74 0.9912 84042.76 83603.21 1.0053 8
FourthJetPt_Zinc4jet 347.40 759.29 755.73 1.0047 588.62 587.32 1.0022 27990.36 27904.73 1.0031 6
FifthJetPt_Zinc5jet 49.88 638.76 638.24 1.0008 167.15 164.33 1.0172 8096.36 8086.85 1.0012 4
FirstJetAbsRapidity_Zinc1jet 3.61 7274.88 7296.76 0.9970 19274.11 19299.89 0.9987 12265.80 12324.13 0.9953 12
SecondJetAbsRapidity_Zinc2jet 3.35 1311.43 1316.87 0.9959 6144.60 6150.94 0.9990 55865.41 55870.78 0.9999 12
ThirdJetAbsRapidity_Zinc3jet 3.38 223.17 229.23 0.9736 404.32 408.44 0.9899 37756.42 37763.10 0.9998 12
FourthJetAbsRapidity_Zinc4jet 3.96 199.46 202.59 0.9846 68.09 71.16 0.9569 9905.86 9908.20 0.9998 12
FifthJetAbsRapidity_Zinc5jet 3.89 170.75 176.74 0.9661 21.83 27.43 0.7959 2401.63 2402.69 0.9996 12
JetsHT_Zinc1jet 3399.52 8771.46 8682.94 1.0102 30120.99 29229.48 1.0305 51436.95 51862.53 0.9918 16
JetsHT_Zinc2jet 571.24 1467.95 1495.50 0.9816 7940.13 7961.82 0.9973 61056.47 60806.25 1.0041 15
JetsHT_Zinc3jet 105.38 230.48 235.03 0.9806 580.45 591.38 0.9815 37092.15 37034.88 1.0015 14
JetsHT_Zinc4jet 19.01 355.59 358.90 0.9908 172.04 178.32 0.9648 9713.99 9665.85 1.0050 12
JetsHT_Zinc5jet 6.32 190.53 194.11 0.9815 45.98 49.96 0.9205 2345.95 2333.20 1.0055 11
JetsMass_Zinc2jet 261.01 1543.26 1515.41 1.0184 8747.92 8754.86 0.9992 56301.79 56136.86 1.0029 15
ZPt_Zinc0jet 8672.81 80066.55 80292.65 0.9972 92852.61 92990.70 0.9985 20594.21 20743.88 0.9928 55
ZPt_Zinc1jet 495.42 10104.31 10095.62 1.0009 32211.93 32210.34 1.0000 68893.65 69071.54 0.9974 54
ZPt_Zinc2jet 93.77 1413.63 1417.92 0.9970 7481.78 7486.35 0.9994 56179.04 56193.01 0.9998 54
ZAbsRapidity_Zinc1jet 11.00 6464.98 6465.80 0.9999 19396.70 19401.86 0.9997 13522.72 13560.87 0.9972 12
SumZFirstJetRapidity_Zinc1jet 114.20 7091.50 7095.02 0.9995 29925.74 29940.65 0.9995 34896.09 34928.83 0.9991 12
DifZFirstJetRapidity_Zinc1jet 1413.43 7602.20 7606.10 0.9995 46658.05 46685.96 0.9994 80268.04 80331.88 0.9992 12
SumZFirstJetRapidity_Zinc2jet 144.52 1238.68 1240.61 0.9984 6699.69 6700.97 0.9998 56215.54 56223.02 0.9999 12
DifZFirstJetRapidity_Zinc2jet 887.12 1236.71 1237.22 0.9996 7786.77 7787.57 0.9999 56934.69 56936.06 1.0000 12
SumZSecondJetRapidity_Zinc2jet 216.89 1267.75 1270.60 0.9978 6957.67 6959.09 0.9998 55970.49 55971.77 1.0000 12
DifZSecondJetRapidity_Zinc2jet 484.05 1302.56 1304.47 0.9985 8468.94 8471.92 0.9996 56209.67 56214.00 0.9999 12
SumZTwoJetsRapidity_Zinc2jet 155.92 1252.24 1252.55 0.9998 7826.79 7835.92 0.9988 56246.88 56247.68 1.0000 6
DifZTwoJetsRapidity_Zinc2jet 2236.15 1259.21 1259.94 0.9994 8677.82 8693.64 0.9982 57352.72 57364.29 0.9998 6
SumFirstSecondJetRapidity_Zinc2jet 70.61 1370.82 1378.22 0.9946 6710.71 6713.38 0.9996 55944.00 55949.32 0.9999 12
DifFirstSecondJetRapidity_Zinc2jet 232.95 1236.26 1235.93 1.0003 7726.97 7722.12 1.0006 55887.83 55889.36 1.0000 12
DPhiZFirstJet_Zinc1jet 183.95 11807.98 11760.21 1.0041 21699.39 18153.60 1.1953 375066.66 227976.48 1.6452 25
DPhiZFirstJet_Zinc2jet 37.13 1464.68 1440.32 1.0169 6468.33 5762.11 1.1226 57963.09 54509.30 1.0634 25
DPhiZFirstJet_Zinc3jet 17.08 270.64 275.59 0.9820 456.39 404.68 1.1278 37170.18 34287.93 1.0841 25
DPhiZSecondJet_Zinc2jet 2.91 1366.27 1322.10 1.0334 6275.84 6021.54 1.0422 56173.62 53063.71 1.0586 25
DPhiZSecondJet_Zinc3jet 2.83 191.82 197.48 0.9713 447.10 433.89 1.0305 37098.74 34802.85 1.0660 25
DPhiZThirdJet_Zinc3jet 4.48 375.48 373.00 1.0067 485.42 482.38 1.0063 37134.30 34953.13 1.0624 25
DPhiFirstSecondJet_Zinc2jet 7.67 1594.70 1615.98 0.9868 6449.90 5955.90 1.0829 57297.97 54693.91 1.0476 25
DPhiFirstSecondJet_Zinc3jet 9.57 290.93 287.21 1.0130 469.19 449.29 1.0443 37181.31 34839.70 1.0672 25
DPhiFirstThirdJet_Zinc3jet 4.33 254.21 245.40 1.0359 525.47 514.20 1.0219 37198.86 35544.53 1.0465 25
DPhiSecondThirdJet_Zinc3jet 2.94 570.91 574.98 0.9929 566.43 541.27 1.0465 37319.38 35763.04 1.0435 25
Jet1_Pt_Jet1_Y_0_I1 1951.39 3651.10 3642.89 1.0023 6233.12 6088.95 1.0237 7955.97 7966.93 0.9986 15
Jet1_Pt_Jet1_Y_1_I1 2540.24 2043.72 2034.47 1.0045 6649.24 6556.01 1.0142 4763.29 4801.43 0.9921 15
Jet1_Pt_Jet1_Y_2_I1 1981.01 1621.84 1619.58 1.0014 6059.07 5861.58 1.0337 4505.45 4512.06 0.9985 13
Jet1_Pt_Jet1_Y_3_I1 2373.78 2622.40 2616.79 1.0021 4342.90 4160.57 1.0438 3990.50 3968.65 1.0055 12
Jet1_Pt_Jet1_Y_4_I1 2031.51 3311.12 3296.47 1.0044 2668.22 2536.18 1.0521 3380.99 3376.75 1.0013 13
Jet1_Pt_Jet1_Y_5_I1 1169.64 2253.57 2214.36 1.0177 2641.13 2553.63 1.0343 1217.31 1168.82 1.0415 12
Jet1_Y_Z_Y_0_I1 4.32 4094.97 4353.12 0.9407 5066.37 5281.66 0.9592 15566.57 16122.22 0.9655 12
Jet1_Y_Z_Y_1_I1 4.06 3177.02 3428.89 0.9265 3614.27 3813.55 0.9477 10205.06 10407.64 0.9805 12
Jet1_Y_Z_Y_2_I1 3.56 2001.80 2215.45 0.9036 3742.79 3865.84 0.9682 4700.36 5002.13 0.9397 12
Jet1_Y_Z_Y_3_I1 3.06 1814.93 1979.33 0.9169 4013.37 4180.23 0.9601 3455.52 3761.18 0.9187 12
Jet1_Y_Z_Y_4_I1 2.55 1504.54 1648.26 0.9128 4103.76 4285.64 0.9576 4613.82 4916.40 0.9385 12
Jet1_Y_Z_Y_5_I1 2.30 398.76 470.83 0.8469 2257.53 2358.15 0.9573 2907.01 3012.34 0.9650 12
Z_Pt_Z_Y_0_I1 274.54 6119.98 6136.18 0.9974 8489.15 8486.94 1.0003 22781.09 22861.78 0.9965 71
Z_Pt_Z_Y_1_I1 411.68 5831.16 5832.92 0.9997 8610.07 8617.05 0.9992 20301.76 20313.39 0.9994 68
Z_Pt_Z_Y_2_I1 375.26 4300.40 4312.52 0.9972 8828.32 8834.68 0.9993 15805.60 15828.16 0.9986 57
Z_Pt_Z_Y_3_I1 581.48 3659.16 3747.76 0.9764 7041.08 7089.12 0.9932 12567.23 12764.69 0.9845 47
Z_Pt_Z_Y_4_I1 237.21 2716.73 2729.90 0.9952 4337.77 4353.11 0.9965 6988.90 7006.25 0.9975 34
Z_Pt_Z_Y_5_I1 100.32 838.15 843.78 0.9933 1758.48 1762.93 0.9975 1375.34 1395.66 0.9854 20
test test
test test
test test
test test
test test
test test
test test
test test
test test
test test
test test
test test
test test
test test
test test
test test
test test
test test
test test
test test
test test
test test
test test
test test
test test
test test
test test
test test
test test
test test
test test
test test
test test
test test
test test
test test
test test
test test
test test
test test
test test
test test
test test
test test
test test
test test
test test
test test
-->
test test
test test
test test
test test
test test
test test
test test
test test
Electron section

χ20 = Nominal χ2 in the unfolding

χ2reg. = χ2 for the regularization term in the unfolding

χ2unf = (Dataunf - Predictiongen) V-1unf (Dataunf - Predictiongen)

χ2rec = (Datareco - Backgroundreco - Predictionreco) V-1reco (Datareco - Backgroundreco - Predictionreco)

V-1unf and V-1reco include the data and statistical uncertatinties of their respective spaces. The unfolding uncertainty is also included in V-1unf

Electron Channel

Variable Condition \Chi^2_{reco} \Chi^2_{unf} dof unf/reco ratio
ZNGoodJets_Zexc 1900878.12 8864.21 3762.55 9 0.42
FirstJetPt_Zinc1jet 16084.97 1974.95 781.91 16 0.40
SecondJetPt_Zinc2jet 2280.96 221.31 129.85 13 0.59
ThirdJetPt_Zinc3jet 676.56 201.73 65.04 8 0.32
FourthJetPt_Zinc4jet 440.95 442.14 18.54 6 0.04
FifthJetPt_Zinc5jet 55.65 393.50 11.30 4 0.03
FirstJetAbsRapidity_Zinc1jet 3.73 993.76 188.71 12 0.19
SecondJetAbsRapidity_Zinc2jet 3.41 142.30 45.98 12 0.32
ThirdJetAbsRapidity_Zinc3jet 3.53 23.83 20.04 12 0.84
FourthJetAbsRapidity_Zinc4jet 3.77 140.27 14.06 12 0.10
FifthJetAbsRapidity_Zinc5jet 3.92 103.26 15.37 12 0.15
JetsHT_Zinc1jet 3587.17 1398.10 714.83 16 0.51
JetsHT_Zinc2jet 576.06 175.62 78.97 15 0.45
JetsHT_Zinc3jet 116.14 38.05 29.13 14 0.77
JetsHT_Zinc4jet 19.08 162.61 22.68 12 0.14
JetsHT_Zinc5jet 7.49 106.47 17.21 11 0.16
JetsMass_Zinc2jet 249.55 269.04 139.96 15 0.52
ZPt_Zinc0jet 11597.63 24377.42 14777.67 55 0.61
ZPt_Zinc1jet 270.52 1665.70 1029.81 54 0.62
ZPt_Zinc2jet 59.80 186.73 78.33 54 0.42
ZAbsRapidity_Zinc1jet 15.30 928.34 227.99 12 0.25
SumZFirstJetRapidity_Zinc1jet 141.18 866.63 34.68 12 0.04
DifZFirstJetRapidity_Zinc1jet 1786.42 1027.15 203.71 12 0.20
SumZFirstJetRapidity_Zinc2jet 184.66 109.51 12.44 12 0.11
DifZFirstJetRapidity_Zinc2jet 1105.52 106.06 6.98 12 0.07
SumZSecondJetRapidity_Zinc2jet 279.33 117.05 12.73 12 0.11
DifZSecondJetRapidity_Zinc2jet 559.63 127.36 23.46 12 0.18
SumZTwoJetsRapidity_Zinc2jet 226.11 102.68 3.18 6 0.03
DifZTwoJetsRapidity_Zinc2jet 3024.18 108.87 9.64 6 0.09
SumFirstSecondJetRapidity_Zinc2jet 70.42 138.53 33.08 12 0.24
DifFirstSecondJetRapidity_Zinc2jet 264.45 128.68 23.54 12 0.18
DPhiZFirstJet_Zinc1jet 236.50 1949.28 717.40 25 0.37
DPhiZFirstJet_Zinc2jet 47.72 160.48 59.91 25 0.37
DPhiZFirstJet_Zinc3jet 19.86 39.64 32.30 25 0.81
DPhiZSecondJet_Zinc2jet 3.37 160.04 54.34 25 0.34
DPhiZSecondJet_Zinc3jet 3.06 30.92 28.11 25 0.91
DPhiZThirdJet_Zinc3jet 4.99 69.81 56.80 25 0.81
DPhiFirstSecondJet_Zinc2jet 7.05 184.66 82.24 25 0.45
DPhiFirstSecondJet_Zinc3jet 9.16 73.31 58.37 25 0.80
DPhiFirstThirdJet_Zinc3jet 4.23 58.26 45.57 25 0.78
DPhiSecondThirdJet_Zinc3jet 2.90 168.44 141.29 25 0.84
Jet1_Pt_Jet1_Y_0_I1 1802.41 625.46 216.51 15 0.35
Jet1_Pt_Jet1_Y_1_I1 2233.24 274.30 152.55 15 0.56
Jet1_Pt_Jet1_Y_2_I1 1333.66 281.39 153.18 13 0.54
Jet1_Pt_Jet1_Y_3_I1 1596.74 339.53 128.28 12 0.38
Jet1_Pt_Jet1_Y_4_I1 1779.63 387.26 111.71 13 0.29
Jet1_Pt_Jet1_Y_5_I1 1026.13 253.32 93.04 12 0.37
Jet1_Y_Z_Y_0_I1 4.38 564.90 94.24 12 0.17
Jet1_Y_Z_Y_1_I1 4.06 533.64 67.67 12 0.13
Jet1_Y_Z_Y_2_I1 3.64 468.23 78.66 12 0.17
Jet1_Y_Z_Y_3_I1 3.07 184.93 68.81 12 0.37
Jet1_Y_Z_Y_4_I1 2.59 105.28 64.13 12 0.61
Jet1_Y_Z_Y_5_I1 2.32 24.03 14.96 12 0.62
Z_Pt_Z_Y_0_I1 231.87 1128.04 685.75 71 0.61
Z_Pt_Z_Y_1_I1 375.91 1073.37 608.95 68 0.57
Z_Pt_Z_Y_2_I1 242.05 872.68 582.95 57 0.67
Z_Pt_Z_Y_3_I1 433.02 490.00 366.17 47 0.75
Z_Pt_Z_Y_4_I1 156.44 311.98 235.79 34 0.76
Z_Pt_Z_Y_5_I1 62.93 158.06 145.57 20 0.92
test test
test test
test test
test test
test test
test test
test test
test test
test test
test test
test test
test test
test test
test test
test test
test test
test test
test test
test test
test test
test test
test test
test test
test test
test test
test test
test test
test test
test test
test test
test test
test test
test test
test test
test test
test test
test test
test test
test test
test test
test test
test test
test test
test test
test test
test test
test test
test test
test test
test test
test test
test test
test test
test test
test test
test test
Muon section
Unfolding is done without regularization.

χ20 = Nominal χ2 in the unfolding

χ2reg. = χ2 for the regularization term in the unfolding

χ2unf = (Dataunf - Predictiongen) V-1unf (Dataunf - Predictiongen)

χ2rec = (Datareco - Backgroundreco - Folded Predictionunf) V-1reco (Datareco - Backgroundreco - Folded Predictionunf)

V-1unf and V-1reco include the data statistical uncertatinties of their respective spaces.

Muon Channel

Variable Condition MG_NLO chi2 REC MG_NLO chi2 UNF MG_NLO ratio MG_LO chi2 REC MG_LO chi2 UNF MG_LO ratio GENEVA chi2 REC GENECA chi2 UNF GENEVA ratio dof
ZNGoodJets_Zexc 897056.32 22908.30 22908.30 1.0000 48471.94 48471.94 1.0000 131978.97 131978.97 1.0000 9
FirstJetPt_Zinc1jet 15446.46 14549.79 14469.23 1.0056 32629.33 32089.13 1.0168 24345.74 24256.96 1.0037 16
SecondJetPt_Zinc2jet 2915.02 1952.36 1906.66 1.0240 12442.51 12400.47 1.0034 94904.80 94164.38 1.0079 13
ThirdJetPt_Zinc3jet 660.37 274.67 254.94 1.0774 2928.77 2954.92 0.9911 84042.76 83580.38 1.0055 8
FourthJetPt_Zinc4jet 347.40 759.29 757.33 1.0026 588.62 588.85 0.9996 27990.36 27896.23 1.0034 6
FifthJetPt_Zinc5jet 49.88 638.76 639.25 0.9992 167.15 167.46 0.9982 8096.36 8085.81 1.0013 4
FirstJetAbsRapidity_Zinc1jet 3.61 7274.88 7308.65 0.9954 19274.11 19307.16 0.9983 12265.80 12309.05 0.9965 12
SecondJetAbsRapidity_Zinc2jet 3.35 1311.43 1318.19 0.9949 6144.60 6152.43 0.9987 55865.41 55869.39 0.9999 12
ThirdJetAbsRapidity_Zinc3jet 3.38 223.17 228.77 0.9755 404.32 408.20 0.9905 37756.42 37761.84 0.9999 12
FourthJetAbsRapidity_Zinc4jet 3.96 199.46 202.14 0.9867 68.09 70.56 0.9650 9905.86 9907.38 0.9998 12
FifthJetAbsRapidity_Zinc5jet 3.89 170.75 176.52 0.9673 21.83 28.14 0.7760 2401.63 2402.38 0.9997 12
JetsHT_Zinc1jet 3399.52 8771.46 8718.16 1.0061 30120.99 29308.67 1.0277 51436.95 51710.54 0.9947 16
JetsHT_Zinc2jet 571.24 1467.95 1494.09 0.9825 7940.13 7965.38 0.9968 61056.47 60812.86 1.0040 15
JetsHT_Zinc3jet 105.38 230.48 234.45 0.9831 580.45 592.04 0.9804 37092.15 37035.88 1.0015 14
JetsHT_Zinc4jet 19.01 355.59 351.24 1.0124 172.04 167.67 1.0261 9713.99 9665.37 1.0050 12
JetsHT_Zinc5jet 6.32 190.53 194.04 0.9819 45.98 49.54 0.9281 2345.95 2333.15 1.0055 11
JetsMass_Zinc2jet 261.01 1543.26 1511.00 1.0214 8747.92 8744.62 1.0004 56301.79 56135.32 1.0030 15
ZPt_Zinc0jet 8672.81 80066.55 80292.65 0.9972 92852.61 92989.93 0.9985 20594.21 20743.00 0.9928 55
ZPt_Zinc1jet 495.42 10104.31 10096.55 1.0008 32211.93 32210.40 1.0000 68893.65 69069.52 0.9975 54
ZPt_Zinc2jet 93.77 1413.63 1408.35 1.0038 7481.78 7481.48 1.0000 56179.04 56183.23 0.9999 54
ZAbsRapidity_Zinc1jet 11.00 6464.98 6465.40 0.9999 19396.70 19397.03 1.0000 13522.72 13524.85 0.9998 12
SumZFirstJetRapidity_Zinc1jet 114.20 7091.50 7094.99 0.9995 29925.74 29939.83 0.9995 34896.09 34924.83 0.9992 12
DifZFirstJetRapidity_Zinc1jet 1413.43 7602.20 7605.82 0.9995 46658.05 46679.58 0.9995 80268.04 80313.98 0.9994 12
SumZFirstJetRapidity_Zinc2jet 144.52 1238.68 1238.06 1.0005 6699.69 6700.47 0.9999 56215.54 56215.75 1.0000 12
DifZFirstJetRapidity_Zinc2jet 887.12 1236.71 1236.83 0.9999 7786.77 7785.28 1.0002 56934.69 56934.96 1.0000 12
SumZSecondJetRapidity_Zinc2jet 216.89 1267.75 1267.68 1.0001 6957.67 6959.10 0.9998 55970.49 55970.89 1.0000 12
DifZSecondJetRapidity_Zinc2jet 484.05 1302.56 1302.03 1.0004 8468.94 8468.23 1.0001 56209.67 56210.43 1.0000 12
SumZTwoJetsRapidity_Zinc2jet 155.92 1252.24 1252.58 0.9997 7826.79 7835.98 0.9988 56246.88 56247.98 1.0000 6
DifZTwoJetsRapidity_Zinc2jet 2236.15 1259.21 1259.76 0.9996 8677.82 8693.09 0.9982 57352.72 57363.78 0.9998 6
SumFirstSecondJetRapidity_Zinc2jet 70.61 1370.82 1372.66 0.9987 6710.71 6712.64 0.9997 55944.00 55945.02 1.0000 12
DifFirstSecondJetRapidity_Zinc2jet 232.95 1236.26 1235.52 1.0006 7726.97 7720.41 1.0008 55887.83 55887.57 1.0000 12
DPhiZFirstJet_Zinc1jet 183.95 11807.98 11765.76 1.0036 21699.39 18151.66 1.1954 375066.66 227633.48 1.6477 25
DPhiZFirstJet_Zinc2jet 37.13 1464.68 1440.00 1.0171 6468.33 5760.65 1.1228 57963.09 54503.95 1.0635 25
DPhiZFirstJet_Zinc3jet 17.08 270.64 275.52 0.9823 456.39 404.21 1.1291 37170.18 34287.23 1.0841 25
DPhiZSecondJet_Zinc2jet 2.91 1366.27 1320.64 1.0345 6275.84 6019.79 1.0425 56173.62 53049.79 1.0589 25
DPhiZSecondJet_Zinc3jet 2.83 191.82 196.54 0.9760 447.10 431.90 1.0352 37098.74 34801.40 1.0660 25
DPhiZThirdJet_Zinc3jet 4.48 375.48 370.90 1.0123 485.42 481.87 1.0074 37134.30 34949.46 1.0625 25
DPhiFirstSecondJet_Zinc2jet 7.67 1594.70 1613.26 0.9885 6449.90 5954.07 1.0833 57297.97 54680.06 1.0479 25
DPhiFirstSecondJet_Zinc3jet 9.57 290.93 287.13 1.0132 469.19 449.09 1.0448 37181.31 34839.00 1.0672 25
DPhiFirstThirdJet_Zinc3jet 4.33 254.21 244.71 1.0388 525.47 513.21 1.0239 37198.86 35544.33 1.0465 25
DPhiSecondThirdJet_Zinc3jet 2.94 570.91 576.26 0.9907 566.43 542.01 1.0450 37319.38 35762.49 1.0435 25
Jet1_Pt_Jet1_Y_0_I1 1951.39 3651.10 3615.52 1.0098 6233.12 6104.00 1.0212 7955.97 7934.93 1.0027 15
Jet1_Pt_Jet1_Y_1_I1 2540.24 2043.72 2022.44 1.0105 6649.24 6577.22 1.0110 4763.29 4793.54 0.9937 15
Jet1_Pt_Jet1_Y_2_I1 1981.01 1621.84 1602.69 1.0119 6059.07 5878.70 1.0307 4505.45 4492.10 1.0030 13
Jet1_Pt_Jet1_Y_3_I1 2373.78 2622.40 2606.98 1.0059 4342.90 4180.11 1.0389 3990.50 3961.75 1.0073 12
Jet1_Pt_Jet1_Y_4_I1 2031.51 3311.12 3274.17 1.0113 2668.22 2560.31 1.0421 3380.99 3352.99 1.0084 13
Jet1_Pt_Jet1_Y_5_I1 1169.64 2253.57 2204.03 1.0225 2641.13 2560.59 1.0315 1217.31 1162.04 1.0476 12
Jet1_Y_Z_Y_0_I1 4.32 4094.97 4353.12 0.9407 5066.37 5281.66 0.9592 15566.57 16122.22 0.9655 12
Jet1_Y_Z_Y_1_I1 4.06 3177.02 3428.89 0.9265 3614.27 3813.55 0.9477 10205.06 10407.64 0.9805 12
Jet1_Y_Z_Y_2_I1 3.56 2001.80 2215.45 0.9036 3742.79 3865.84 0.9682 4700.36 5002.13 0.9397 12
Jet1_Y_Z_Y_3_I1 3.06 1814.93 1979.33 0.9169 4013.37 4180.23 0.9601 3455.52 3761.18 0.9187 12
Jet1_Y_Z_Y_4_I1 2.55 1504.54 1648.26 0.9128 4103.76 4285.64 0.9576 4613.82 4916.40 0.9385 12
Jet1_Y_Z_Y_5_I1 2.30 398.76 470.83 0.8469 2257.53 2358.15 0.9573 2907.01 3012.34 0.9650 12
Z_Pt_Z_Y_0_I1 274.54 6119.98 6129.56 0.9984 8489.15 8478.88 1.0012 22781.09 22842.23 0.9973 71
Z_Pt_Z_Y_1_I1 411.68 5831.16 5812.60 1.0032 8610.07 8600.19 1.0011 20301.76 20283.34 1.0009 68
Z_Pt_Z_Y_2_I1 375.26 4300.40 4305.19 0.9989 8828.32 8833.19 0.9994 15805.60 15816.39 0.9993 57
Z_Pt_Z_Y_3_I1 581.48 3659.16 3739.67 0.9785 7041.08 7087.35 0.9935 12567.23 12724.09 0.9877 47
Z_Pt_Z_Y_4_I1 237.21 2716.73 2731.25 0.9947 4337.77 4354.79 0.9961 6988.90 6997.28 0.9988 34
Z_Pt_Z_Y_5_I1 100.32 838.15 842.53 0.9948 1758.48 1764.05 0.9968 1375.34 1389.33 0.9899 20
test test
test test
test test
test test
test test
test test
test test
test test
test test
test test
test test
test test
test test
test test
test test
test test
test test
test test
test test
test test
test test
test test
test test
test test
test test
test test
test test
test test
test test
test test
test test
test test
test test
test test
test test
test test
test test
test test
test test
test test
test test
test test
test test
test test
test test
test test
test test
test test
test test
test test
test test
test test
test test
test test
test test
test test
Electron section Unfolding is done without regularization.

χ20 = Nominal χ2 in the unfolding

χ2reg. = χ2 for the regularization term in the unfolding

χ2unf = (Dataunf - Predictiongen) V-1unf (Dataunf - Predictiongen)

χ2rec = (Datareco - Backgroundreco - Predictionreco) V-1reco (Datareco - Backgroundreco - Predictionreco)

V-1unf and V-1reco include the data and statistical uncertatinties of their respective spaces.**

**The unfolding uncertainty is omitted in these checks.

Electron Channel

Variable Condition \chi^2_{reco} \chi^2_{unf} dof unf/reco ratio
ZNGoodJets_Zexc 1607297.08 8853.49 6777.62 9 0.77
FirstJetPt_Zinc1jet 16264.95 1981.45 1545.80 16 0.78
SecondJetPt_Zinc2jet 2281.13 219.68 161.45 13 0.73
ThirdJetPt_Zinc3jet 678.15 192.39 132.89 8 0.69
FourthJetPt_Zinc4jet 444.01 462.72 249.49 6 0.54
FifthJetPt_Zinc5jet 56.09 398.22 151.96 4 0.38
FirstJetAbsRapidity_Zinc1jet 3.73 986.80 794.66 12 0.81
SecondJetAbsRapidity_Zinc2jet 3.41 145.14 120.95 12 0.83
ThirdJetAbsRapidity_Zinc3jet 3.53 24.59 21.45 12 0.87
FourthJetAbsRapidity_Zinc4jet 3.76 141.16 80.91 12 0.57
FifthJetAbsRapidity_Zinc5jet 3.90 106.70 42.70 12 0.40
JetsHT_Zinc1jet 3564.89 1387.57 1214.31 16 0.88
JetsHT_Zinc2jet 575.11 175.97 134.34 15 0.76
JetsHT_Zinc3jet 117.15 36.20 28.07 14 0.78
JetsHT_Zinc4jet 18.98 164.72 70.69 12 0.43
JetsHT_Zinc5jet 7.22 111.03 34.89 11 0.31
JetsMass_Zinc2jet 250.17 268.95 207.43 15 0.77
ZPt_Zinc0jet 11597.63 24377.42 17875.09 55 0.73
ZPt_Zinc1jet 270.54 1654.98 1467.14 54 0.89
ZPt_Zinc2jet 59.80 186.10 166.13 54 0.89
ZAbsRapidity_Zinc1jet 15.30 923.78 749.66 12 0.81
SumZFirstJetRapidity_Zinc1jet 141.20 859.59 655.30 12 0.76
DifZFirstJetRapidity_Zinc1jet 1789.71 1021.00 809.24 12 0.79
SumZFirstJetRapidity_Zinc2jet 185.78 110.13 84.80 12 0.77
DifZFirstJetRapidity_Zinc2jet 1104.71 105.96 79.63 12 0.75
SumZSecondJetRapidity_Zinc2jet 278.07 119.23 90.56 12 0.76
DifZSecondJetRapidity_Zinc2jet 554.42 129.46 98.61 12 0.76
SumZTwoJetsRapidity_Zinc2jet 226.29 103.73 76.78 6 0.74
DifZTwoJetsRapidity_Zinc2jet 2988.69 110.11 83.15 6 0.76
SumFirstSecondJetRapidity_Zinc2jet 70.71 139.06 106.46 12 0.77
DifFirstSecondJetRapidity_Zinc2jet 264.33 128.02 98.28 12 0.77
DPhiZFirstJet_Zinc1jet 236.19 1944.47 1598.37 25 0.82
DPhiZFirstJet_Zinc2jet 47.67 161.10 129.23 25 0.80
DPhiZFirstJet_Zinc3jet 19.82 39.13 32.51 25 0.83
DPhiZSecondJet_Zinc2jet 3.37 162.43 132.15 25 0.81
DPhiZSecondJet_Zinc3jet 3.07 30.41 27.19 25 0.89
DPhiZThirdJet_Zinc3jet 4.99 69.63 56.77 25 0.82
DPhiFirstSecondJet_Zinc2jet 7.05 184.06 146.47 25 0.80
DPhiFirstSecondJet_Zinc3jet 9.17 73.78 59.33 25 0.80
DPhiFirstThirdJet_Zinc3jet 4.22 55.34 44.32 25 0.80
DPhiSecondThirdJet_Zinc3jet 2.90 166.97 142.07 25 0.85
Jet1_Pt_Jet1_Y_0_I1 1798.72 632.57 504.96 15 0.80
Jet1_Pt_Jet1_Y_1_I1 2260.80 276.43 222.40 15 0.80
Jet1_Pt_Jet1_Y_2_I1 1332.44 280.14 219.99 13 0.79
Jet1_Pt_Jet1_Y_3_I1 1595.39 341.81 285.53 12 0.84
Jet1_Pt_Jet1_Y_4_I1 1773.34 390.21 284.79 13 0.73
Jet1_Pt_Jet1_Y_5_I1 1024.98 245.85 158.20 12 0.64
Jet1_Y_Z_Y_0_I1 4.38 565.62 495.49 12 0.88
Jet1_Y_Z_Y_1_I1 4.06 556.95 472.48 12 0.85
Jet1_Y_Z_Y_2_I1 3.64 465.67 373.47 12 0.80
Jet1_Y_Z_Y_3_I1 3.07 181.66 141.34 12 0.78
Jet1_Y_Z_Y_4_I1 2.59 108.44 82.55 12 0.76
Jet1_Y_Z_Y_5_I1 2.32 22.54 16.99 12 0.75
Z_Pt_Z_Y_0_I1 231.90 1132.14 995.94 71 0.88
Z_Pt_Z_Y_1_I1 376.02 1088.60 952.28 68 0.87
Z_Pt_Z_Y_2_I1 243.16 856.87 744.99 57 0.87
Z_Pt_Z_Y_3_I1 432.97 495.29 415.60 47 0.84
Z_Pt_Z_Y_4_I1 156.47 314.18 250.02 34 0.80
Z_Pt_Z_Y_5_I1 63.01 158.38 141.82 20 0.90
test test
test test
test test
test test
test test
test test
test test
test test
test test
test test
test test
test test
test test
test test
test test
test test
test test
test test
test test
test test
test test
test test
test test
test test
test test
test test
test test
test test
test test
test test
test test
test test
test test
test test
test test
test test
test test
test test
test test
test test
test test
test test
test test
test test
test test
test test
test test
test test
test test
test test
test test
test test
test test
test test
test test
test test
Muon section

Reco = Reconstruction data with background and fakes subtracted

Fold Unf. = Unfolded data refolded by the response matrix and multiplied by the efficiency and lumi

Muon Channel

test test test test test test test test test test test test test test test test test test test test test test test test test test test test test test test test test test test test test test test test test test test test test test test test test test test test test test test test
Electron section

Reco = Reconstruction data with background and fakes subtracted

Fold Unf. = Unfolded data refolded by the response matrix and multiplied by the efficiency and lumi

Electron Channel

test test test test test test test test test test test test test test test test test test test test test test test test test test test test test test test test test test test test test test test test test test test test test test test test test test test test test test test test
Muon section

Reco = Reconstruction MC with fakes subtracted

Gen = Gen MC multiplied by the efficiency and int lumi

Muon Channel

test test test test test test test test test test test test test test test test test test test test test test test test test test test test test test test test test test test test test test test test test test test test test test test test test test test test test test test test
Electron section

Reco = Reconstruction MC with fakes subtracted

Gen = Gen MC multiplied by the efficiency and int lumi

Electron Channel

test test test test test test test test test test test test test test test test test test test test test test test test test test test test test test test test test test test test test test test test test test test test test test test test test test test test test test test test

Reco = re-binned reconstruction data (to match the gen binning) with background and fakes subtracted

Unf = Unfolded data multiplied by efficiency and int lumi

Muon Channel

test test test test test test test test test test test test test test test test test test test test test test test test test test test test test test test test test test test test test test test test test test test test test test test test test test test test test test test test test test test

Electron Channel

Reco = re-binned reconstruction data (to match the gen binning) with background and fakes subtracted

Unf = Unfolded data multiplied by efficiency and int lumi

test test test test test test test test test test test test test test test test test test test test test test test test test test test test test test test test test test test test test test test test test test test test test test test test test test test test test test test test test test test

Reco = re-binned reconstruction data (to match the gen binning) with background and fakes subtracted

Unf = Unfolded data multiplied by efficiency and int lumi

Muon Channel

test test test test test test test test test test test test test test test test test test test test test test test test test test test test test test test test test test test test test test test test test test test test test test test test test test test test test test test test test test test

Reco = re-binned reconstruction data (to match the gen binning) with background and fakes subtracted

Unf = Unfolded data multiplied by efficiency and int lumi

Electron Channel

test test test test test test test test test test test test test test test test test test test test test test test test test test test test test test test test test test test test test test test test test test test test test test test test test test test test test test test test test test test

Uncertainty estimated from up and down variations at reconstruction level.

Muon Channel

test test test test test test test test test test test test test test test test test test test test test test test test test test test test test test test test test test test test test test test test test test test test test test test test test test test test test test test test test test test test test test test test test test test test test test test test test test test test test test test test test test test test test test test test test test test test test test test test test test test test test test test test test test test test test test test test test test test test test test test test test test test test test test test test test test test test test test test test test test test test test test test test test test test test test test test test test test test test test test test test test test test test test test test test test test test test test test test test test test test test test test test test test test test test test test test test test test test test test test test test test test test test test test test test test test test test test test test test test test test test test test test test test test test test test test test test test test test test test test test test test test test test test test test test test test test test test test test test test test test test test test test test test test test test test test test test test test test test test test test test test test test test test test test test test test test test test test test test test test test test test test test test test test test test test test test test test test test test test test test test test test test test test test test test test test test test test test test test test test test test test test test test test test test test test test test test test test test test test test test test test test test test test test test test test test test test test test test test test test test test test test test test test test test test test test test test test test test test test test test test test test test test test test test test test test test test test test test test test test test test

Uncertainty estimated from up and down variations at reconstruction level.

Electron Channel

test test test test test test test test test test test test test test test test test test test test test test test test test test test test test test test test test test test test test test test test test test test test test test test test test test test test test test test test test test test test test test test test test test test test test test test test test test test test test test test test test test test test test test test test test test test test test test test test test test test test test test test test test test test test test test test test test test test test test test test test test test test test test test test test test test test test test test test test test test test test test test test test test test test test test test test test test test test test test test test test test test test test test test test test test test test test test test test test test test test test test test test test test test test test test test test test test test test test test test test test test test test test test test test test test test test test test test test test test test test test test test test test test test test test test test test test test test test test test test test test test test test test test test test test test test test test test test test test test test test test test test test test test test test test test test test test test test test test test test test test test test test test test test test test test test test test test test test test test test test test test test test test test test test test test test test test test test test test test test test test test test test test test test test test test test test test test test test test test test test test test test test test test test test test test test test test test test test test test test test test

Muon Channel

test test test test test test test test test test test test test test test test test test test test test test test test test test test test test test test test test test test test test test test test test test test test test test test test test test test test test test test test test test test test

Electron Channel

test test test test test test test test test test test test test test test test test test test test test test test test test test test test test test test test test test test test test test test test test test test test test test test test test test test test test test test test test test test test
Comparison of eras B-F and G-H to check effects of the HIP problem.

Muon Channel

test test test test test test test test test test test test test test test test test test test test test test test test test test test test test test test test test test test test test test test test test test test test test test test test test test test test test test test test test test test test test test test test test test test test test test test test test test test test test test test test test test test test test test test test test test test test test test test test test test test test
Comparison of eras B-F and G-H to check effects of the HIP problem.

Electron Channel

test test test test test test test test test test test test test test test test test test test test test test test test test test test test test test test test test test test test test test test test test test test test test test test test test test test test test test test test test test test test test test test test test test test test test test test test test test test test test test test test test test
Comparison of eras B-F and G-H to check effects of the HIP problem. BF on the left, GH on the right.

Muon Channel

test test
test test
test test
test test
test test
test test
test test
test test
test test
test test
test test
test test
test test
test test
test test
test test
test test
test test
test test
test test
test test
test test
test test
test test
test test
test test
test test
test test
test test
test test
test test
test test
test test
test test
test test
test test
test test
test test
test test
test test
test test
test test
test test
test test
test test
test test
test test
test test
test test
test test
test test
test test
test test
test test
test test
test test
test test
test test
test test
test test
test test
test test
test test
test test
test test
test test
test test
test test
test test
test test
test test
test test
test test
test test
test test
test test
test test
test test
test test
test test
test test
test test
test test
test test
test test
test test
test test
test test
test test
test test
test test
test test
Comparison of eras B-F and G-H to check effects of the HIP problem. BF on the left, GH on the right.

Electron Channel

test test
test test
test test
test test
test test
test test
test test
test test
test test
test test
test test
test test
test test
test test
test test
test test
test test
test test
test test
test test
test test
test test
test test
test test
test test
test test
test test
test test
test test
test test
test test
test test
test test
test test
test test
test test
test test
test test
test test
test test
test test
test test
test test
test test
test test
test test
test test
test test
test test
test test
test test
test test
test test
test test
test test
test test
test test
test test
test test
test test
test test
test test
test test
test test
test test
test test
test test
test test
test test
test test
test test
test test
test test
test test
test test
test test
test test
test test
test test
test test
test test
test test
test test
test test
test test
test test
test test
test test
test test
test test
test test
test test
Comparison of eras B-F and G-H to check effects of the HIP problem. BF on the left, GH on the right. Medium2016 ID is used instead of medium: validFraction cut move from 0.8 to 0.49

Muon Channel

test test
test test
test test
test test
test test
test test
test test
test test
test test
test test
test test
test test
test test
test test
test test
test test
test test
test test
test test
test test
test test
test test
test test
test test
test test
test test
test test
test test
test test
test test
test test
test test
test test
test test
test test
test test
test test
test test
test test
test test
test test
test test
test test
test test
test test
test test
test test
test test
test test
test test
test test
test test
test test
test test
test test
test test
test test
test test
test test
test test
test test
test test
test test
test test
test test
test test
test test
test test
test test
test test
test test
test test
test test
test test
test test
test test
test test
test test
test test
test test
test test
test test
test test
test test
test test
test test
test test
test test
test test
test test
test test
test test
Comparison of eras B-F and G-H to check effects of the HIP problem. BF on the left, GH on the right. Era dependent PU weights are used.

Muon Channel

test test
test test
test test
test test
test test
test test
test test
test test
test test
test test
test test
test test
test test
test test
test test
test test
test test
test test
test test
test test
test test
test test
test test
test test
test test
test test
test test
test test
test test
test test
test test
test test
test test
test test
test test
test test
test test
test test
test test
test test
test test
test test
test test
test test
test test
test test
test test
test test
test test
test test
test test
test test
test test
test test
test test
test test
test test
test test
test test
test test
test test
test test
test test
test test
test test
test test
test test
test test
test test
test test
test test
test test
test test
test test
test test
test test
test test
test test
test test
test test
test test
test test
test test
test test
test test
test test
test test
test test
test test
test test
test test
test test
Comparison of eras B-F and G-H to check effects of the HIP problem. BF on the left, GH on the right.

Electron Channel

test test
test test
test test
test test
test test
test test
test test
test test
test test
test test
test test
test test
test test
test test
test test
test test
test test
test test
test test
test test
test test
test test
test test
test test
test test
test test
test test
test test
test test
test test
test test
test test
test test
test test
test test
test test
test test
test test
test test
test test
test test
test test
test test
test test
test test
test test
test test
test test
test test
test test
test test
test test
test test
test test
test test
test test
test test
test test
test test
test test
test test
test test
test test
test test
test test
test test
test test
test test
test test
test test
test test
test test
test test
test test
test test
test test
test test
test test
test test
test test
test test
test test
test test
test test
test test
test test
test test
test test
test test
test test
test test
test test
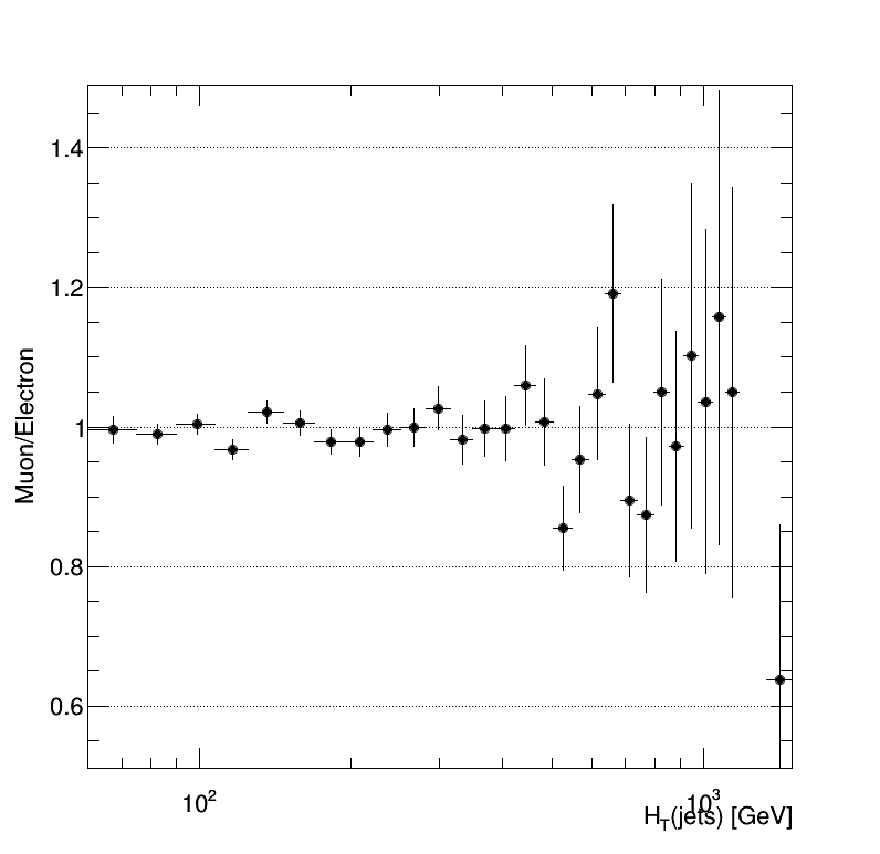
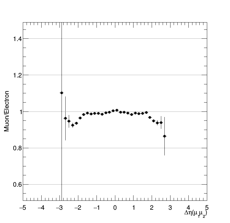
Ratio of Muon and Electron Data/MC ratios. Reconstruction level + statistical uncertainty only.

Muon/Electron

test test test test test test test test test test test test test test test test test test test test test test test test test test test test test test test test test test test test test test test test test test test test test test test test test test test test test test test test test test test test test test test test test test test test test test test test test test test test test test test test test test test test test test test test test test test test test test test test test test test test test test test test test test

Muon Channel

test test test test test test test test test test test test test test test test test test test test test test test test test test test test test test test test test test test test test test test test test test test test test test test test test test test test test test test test test test test test

Muon Channel

test test test test test test test test test test test test

Electron Channel

test test test test test test test test test test test test